Digitální knihovna UPCE přechází na novou verzi. Omluvte prosím případné komplikace. / The UPCE Digital Library is migrating to a new version. We apologize for any inconvenience.

Publikace:
The current dye intermediate market - A cautionary tale and detective story; characterization and unambiguous synthesis of 5-amino-4-chloro-2,7-dimethyl-1H-benzimidazole

Článekopen accesspeer-reviewedpostprint
Načítá se...
Náhled

Datum

Autoři

Drabina, Pavel
Panov, Illia
Sedlák, Miloš
Růžička, Aleš
Kopřivová, Radka
Ventura, Karel

Název časopisu

ISSN časopisu

Název svazku

Nakladatel

Elsevier

Výzkumné projekty

Organizační jednotky

Číslo časopisu

Abstrakt

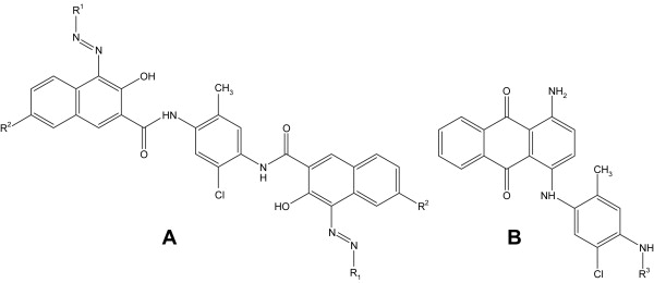
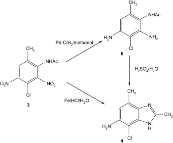
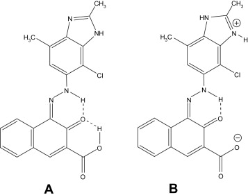
Commercially delivered 2-chloro-5-methyl-1,4-phenylenediamine (1 metric ton) was not identical to the commonly used dye intermediate; it was found that the material was a pure but not yet described molecule. 1H, 13C NMR, MS, microanalysis and X-ray diffraction showed that the substance was in fact 5-amino-4-chloro-2,7-dimethyl-1H-benzimidazole. The manufacturer's mistake was explained by independent synthesis, which revealed that the key step was nitration of N-(5-chloro-2-methyl-4-nitrophenyl)acetamide giving N-(5-chloro-2-methyl-4,6-dinitrophenyl)acetamide, which requires Fe(III) catalysis. Subsequent reduction of N-(5-chloro-2-methyl-4,6-dinitrophenyl)acetamide with hydrogen and Pd/C catalyst exclusively gives N-(2,4-diamino-3-chloro-6-methylphenyl)acetamide. The ring closure reaction giving 5-amino-4-chloro-2,7-dimethyl-1H-benzimidazole takes place during the reduction with iron.

Popis

Klíčová slova

Dye intermediates, 1H-Benzimidazoles, Heterocycles, Nitration, Ferric nitrate, X-ray diffraction

Citace

Permanentní identifikátor

Endorsement

Review

Supplemented By

Referenced By