Publikace: The current dye intermediate market - A cautionary tale and detective story; characterization and unambiguous synthesis of 5-amino-4-chloro-2,7-dimethyl-1H-benzimidazole
Článekopen accesspeer-reviewedpostprint| dc.contributor.author | Drabina, Pavel | |
| dc.contributor.author | Panov, Illia | |
| dc.contributor.author | Sedlák, Miloš | |
| dc.contributor.author | Růžička, Aleš | |
| dc.contributor.author | Kopřivová, Radka | |
| dc.contributor.author | Ventura, Karel | |
| dc.date.accessioned | 2010-10-18T09:57:07Z | |
| dc.date.available | 2010-10-18T09:57:07Z | |
| dc.date.issued | 2009 | |
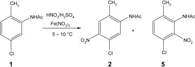
| dc.description.abstract | Commercially delivered 2-chloro-5-methyl-1,4-phenylenediamine (1 metric ton) was not identical to the commonly used dye intermediate; it was found that the material was a pure but not yet described molecule. 1H, 13C NMR, MS, microanalysis and X-ray diffraction showed that the substance was in fact 5-amino-4-chloro-2,7-dimethyl-1H-benzimidazole. The manufacturer's mistake was explained by independent synthesis, which revealed that the key step was nitration of N-(5-chloro-2-methyl-4-nitrophenyl)acetamide giving N-(5-chloro-2-methyl-4,6-dinitrophenyl)acetamide, which requires Fe(III) catalysis. Subsequent reduction of N-(5-chloro-2-methyl-4,6-dinitrophenyl)acetamide with hydrogen and Pd/C catalyst exclusively gives N-(2,4-diamino-3-chloro-6-methylphenyl)acetamide. The ring closure reaction giving 5-amino-4-chloro-2,7-dimethyl-1H-benzimidazole takes place during the reduction with iron. | eng |
| dc.format | p. 113-118 | eng |
| dc.identifier.doi | 10.1016/j.dyepig.2008.09.012 | |
| dc.identifier.issn | 0143-7208 | |
| dc.identifier.uri | https://hdl.handle.net/10195/37727 | |
| dc.language.iso | eng | |
| dc.peerreviewed | yes | eng |
| dc.publicationstatus | postprint | eng |
| dc.publisher | Elsevier | cze |
| dc.relation.ispartof | Dyes and Pigments. 2009, vol. 81, issue 2 | eng |
| dc.relation.publisherversion | http://www.sciencedirect.com/science?_ob=ArticleURL&_udi=B6TFY-4TMBPTW-1&_user=640852&_coverDate=05%2F31%2F2009&_rdoc=1&_fmt=high&_orig=search&_origin=search&_sort=d&_docanchor=&view=c&_acct=C000032310&_version=1&_urlVersion=0&_userid=640852&md5=6b8f8965426174be9b5331b5bd70c406&searchtype=a | |
| dc.rights | open access | eng |
| dc.subject | Dye intermediates | eng |
| dc.subject | 1H-Benzimidazoles | eng |
| dc.subject | Heterocycles | eng |
| dc.subject | Nitration | eng |
| dc.subject | Ferric nitrate | eng |
| dc.subject | X-ray diffraction | eng |
| dc.title | The current dye intermediate market - A cautionary tale and detective story; characterization and unambiguous synthesis of 5-amino-4-chloro-2,7-dimethyl-1H-benzimidazole | eng |
| dc.type | Article | eng |
| dspace.entity.type | Publication |
Soubory
Původní svazek
1 - 5 z 9
Načítá se...
- Název:
- [POSTPRINT]SedlakM_TheCurrentDye_2009.pdf
- Velikost:
- 437.75 KB
- Formát:
- Adobe Portable Document Format
Načítá se...
- Název:
- Fig2.gif
- Velikost:
- 9.47 KB
- Formát:
- Graphics Interchange Format
Načítá se...
- Název:
- Fig3.gif
- Velikost:
- 12.32 KB
- Formát:
- Graphics Interchange Format
Načítá se...
- Název:
- Fig.1.jpg
- Velikost:
- 18.5 KB
- Formát:
- Joint Photographic Experts Group/JPEG File Interchange Format (JFIF)
Načítá se...
- Název:
- Fig.4.jpg
- Velikost:
- 20.17 KB
- Formát:
- Joint Photographic Experts Group/JPEG File Interchange Format (JFIF)
Licence svazku
1 - 1 z 1
Načítá se...
- Název:
- license.txt
- Velikost:
- 1.71 KB
- Formát:
- Item-specific license agreed upon to submission
- Popis: