Digitální knihovna UPCE přechází na novou verzi. Omluvte prosím případné komplikace. / The UPCE Digital Library is migrating to a new version. We apologize for any inconvenience.

Publikace:
Copper(II) complexes derived from substituted 2,2 '-bis-(4-isopropyl-4-methyl-4,5-dihydro-1H-imidazol-5-one) ligands: Synthesis, structure and catalytic activity

Článekopen accesspeer-reviewedpostprint
Načítá se...
Náhled

Datum

Autoři

Drabina, Pavel
Valenta, Petr
Jansa, Petr
Růžička, Aleš
Hanusek, Jiří
Sedlák, Miloš

Název časopisu

ISSN časopisu

Název svazku

Nakladatel

Elsevier

Výzkumné projekty

Organizační jednotky

Číslo časopisu

Abstrakt

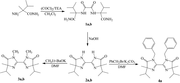
New chiral N,N-bidentate 2,2′-bis-(4-isopropyl-4-methyl-4,5-dihydro-1H-imidazol-5-one) ligands have been prepared and characterised by their 1H and 13C NMR spectra and/or optical rotation. The ligands prepared were then tested for their ability to form complexes with copper(II) salts. It was found that the most stable complex is formed from the 2,2′-bis-(4-isopropyl-1,4-dimethyl-4,5-dihydro-1H-imidazol-5-one) ligand and copper(II) chloride. The structure of this complex was determined by means of quantum-chemical computations at the B3LYP or UB3LYP/6-31G(d,p) level. According to the computations, the geometry of the copper atom most resembles a tetrahedral arrangement, which was also confirmed by means of X-ray structural analysis. It was found that the structure of this copper(II) complex does not allow the copper atom to coordinate to additional ligands; therefore, it is catalytically inactive in the asymmetric Henry reaction.

Popis

Klíčová slova

Nitrogen bidentate ligands, 4,5-Dihydro-1H-imidazol-5-ones, Copper(II) complexes, B3LYP/6-31G(d,p), Asymmetric catalysis

Citace

Permanentní identifikátor

Endorsement

Review

Supplemented By

Referenced By