Publikace: New chiral ligands and iron(III) complexes based on 2,6-bis(1-benzyl-4-isopropyl-4-methyl-4,5-dihydro-1H-imidazol-5-on-2-yl)pyridines
Článekopen accesspeer-reviewedpostprint| dc.contributor.author | Drabina, Pavel | |
| dc.contributor.author | Sedlák, Miloš | |
| dc.contributor.author | Císařová, Ivana | |
| dc.contributor.author | Růžička, Aleš | |
| dc.contributor.author | Hanusek, Jiří | |
| dc.contributor.author | Macháček, Vladimír | |
| dc.date.accessioned | 2010-10-01T07:39:56Z | |
| dc.date.available | 2010-10-01T07:39:56Z | |
| dc.date.issued | 2004 | |
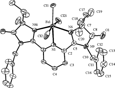
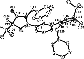
| dc.description.abstract | New ligands and their complexes with iron(III) chloride have been suggested and prepared: (R,S)-, (R,R)- and (S,S)-2,6-bis(1-benzyl-4-isopropyl-4-methyl-4,5-dihydro-1H-imidazol-5-on-2-yl) pyridines. Both the ligands and their complexes were characterised by 1H and 13C NMR spectroscopy, optical rotation and X-ray diffraction. | eng |
| dc.format | p. 7723-7726 | eng |
| dc.identifier.doi | 10.1016/j.tetlet.2004.08.085 | |
| dc.identifier.issn | 0040-4039 | |
| dc.identifier.uri | https://hdl.handle.net/10195/37276 | |
| dc.language.iso | eng | |
| dc.peerreviewed | yes | eng |
| dc.publicationstatus | postprint | eng |
| dc.publisher | Elsevier | cze |
| dc.relation.ispartof | Tetrahedron Letters. 2004, vol. 45, issue 41 | eng |
| dc.relation.publisherversion | http://www.sciencedirect.com/science?_ob=ArticleURL&_udi=B6THS-4D99PDB-3&_user=640852&_coverDate=10%2F04%2F2004&_rdoc=1&_fmt=high&_orig=search&_origin=search&_sort=d&_docanchor=&view=c&_acct=C000032310&_version=1&_urlVersion=0&_userid=640852&md5=ad5840d26f8d2af44e46171185954513&searchtype=a | |
| dc.rights | open access | eng |
| dc.title | New chiral ligands and iron(III) complexes based on 2,6-bis(1-benzyl-4-isopropyl-4-methyl-4,5-dihydro-1H-imidazol-5-on-2-yl)pyridines | eng |
| dc.type | Article | eng |
| dspace.entity.type | Publication |
Soubory
Původní svazek
1 - 5 z 5
Načítá se...
- Název:
- [POSTPRINT]SedlakM_NewChiral2004.pdf
- Velikost:
- 380.42 KB
- Formát:
- Adobe Portable Document Format
Načítá se...
- Název:
- Fig.1.jpg
- Velikost:
- 2.49 KB
- Formát:
- Joint Photographic Experts Group/JPEG File Interchange Format (JFIF)
Načítá se...
- Název:
- Fig.2.gif
- Velikost:
- 9.02 KB
- Formát:
- Graphics Interchange Format
Načítá se...
- Název:
- Fig.3.gif
- Velikost:
- 12.24 KB
- Formát:
- Graphics Interchange Format
Načítá se...
- Název:
- Scheme1.jpg
- Velikost:
- 23.2 KB
- Formát:
- Joint Photographic Experts Group/JPEG File Interchange Format (JFIF)